• INFOR.pl
  • dziennik.pl
  • INFORLEX.pl
  • ZdrowieGO.pl
  • Newsletter
  • gazetaprawna.pl
  • Sklep
Forsal logo
Strona główna
  • Kraj
    • Aktualności
    • Polityka
    • Bezpieczeństwo
  • Biznes
    • Aktualności
    • Firma
    • Przemysł
    • Handel
    • Energetyka
    • Motoryzacja
    • Technologie
    • Bankowość
    • Rolnictwo
  • Gospodarka
    • Aktualności
    • PKB
    • Przemysł
    • Demografia
    • Cyfryzacja
    • Polityka
    • Inflacja
    • Rolnictwo
    • Bezrobocie
    • Klimat
    • Finanse publiczne
    • Stopy procentowe
    • Inwestycje
    • Prawo
  • KSeF
  • Bezpieczeństwo
  • Świat
    • Aktualności
    • Niemcy
    • Rosja
    • USA
    • Bliski Wschód
    • Unia Europejska
    • Wielka Brytania
    • Ukraina
    • Chiny
    • Bezpieczeństwo
  • Finanse
    • Aktualności
    • Giełda
    • Surowce
    • Kredyty
    • Kryptowaluty
    • Twoje pieniądze
    • Notowania
    • Finanse osobiste
    • Waluty
  • Praca
    • Aktualności
    • Wynagrodzenia
    • Kariera
    • Praca za granicą
  • Nieruchomości
    • Aktualności
    • Mieszkania
    • Nieruchomości komercyjne
  • Wideo
  • Transport
    • Aktualności
    • Drogi
    • Kolej
    • Lotnictwo
  • Lifestyle
    • Edukacja
    • Aktualności
    • Turystyka
    • Psychologia
    • Zdrowie
    • Rozrywka
    • Kultura
    • Nauka
    • Technologie
  • Notowania
  • Kraj
  • Biznes
  • Gospodarka
  • Bezpieczeństwo
  • Świat
  • Finanse
  • Praca
  • Nieruchomości
  • Transport
  • Wideo
  • Lifestyle
  • Infor.pl
  • Dziennik.pl
  • Zdrowiego.pl
Raporty specjalne:
Atak na IRANCeny paliwWojna w UkrainieZadbaj o zdrowie
konta
Wzrośnie popularność rachunków walutowych

Wzrośnie popularność rachunków walutowych

3 lutego 2012
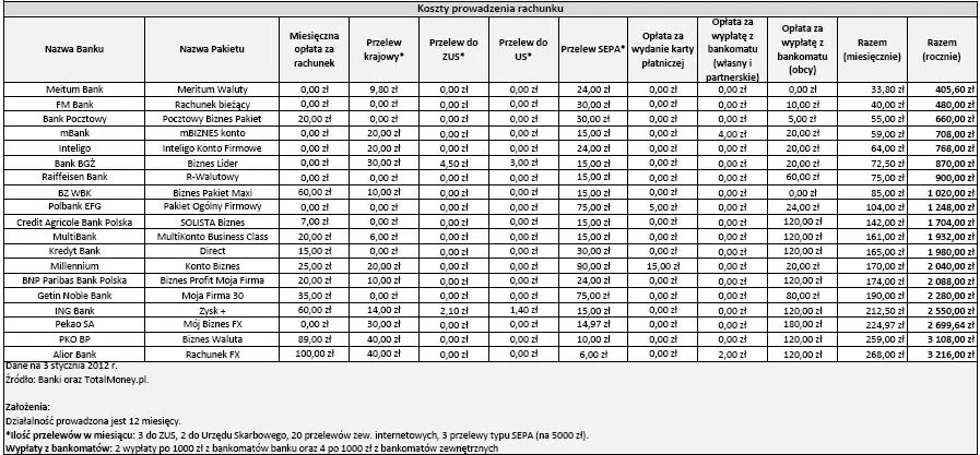
Ranking kont bankowych dla biznesu - styczeń 2011

Ranking kont bankowych dla biznesu - styczeń 2011

2 lutego 2012

Uważaj na opłaty przy koncie oszczędnościowym

1 lutego 2012
Jak zmienić konto i zacząć oszczędzać

Jak zmienić konto i zacząć oszczędzać

28 stycznia 2012
Najlepsze konta oszczędnościowe w styczniu 2012 - ranking

Najlepsze konta oszczędnościowe w styczniu 2012 - ranking

20 stycznia 2012
Nie wierz bankowej reklamie - zamiast realnej oferty podaje dane statystyczne

Nie wierz bankowej reklamie - zamiast realnej oferty podaje dane statystyczne

14 stycznia 2012
Za zagraniczne przelewy trzeba słono zapłacić, nawet kilkaset złotych

Za zagraniczne przelewy trzeba słono zapłacić, nawet kilkaset złotych

10 stycznia 2012
PBS DGA: Najlepsze i najgorsze konta bankowe według inwestorów

PBS DGA: Najlepsze i najgorsze konta bankowe według inwestorów

10 stycznia 2012
Ranking kont dla firm

Ranking kont dla firm

5 stycznia 2012
Lokaty antypodatkowe znikają wolniej niż powinny

Lokaty antypodatkowe znikają wolniej niż powinny

4 stycznia 2012
Nie posiadasz konta w banku – co roku tracisz 120 zł

Nie posiadasz konta w banku – co roku tracisz 120 zł

4 stycznia 2012
6 wskazówek, jak uporządkować domowe finanse i zyskać nawet kilka tysięcy złotych

6 wskazówek, jak uporządkować domowe finanse i zyskać nawet kilka tysięcy złotych

3 stycznia 2012
Banki zmieniają ofertę. Nie używasz karty - to płać

Banki zmieniają ofertę. Nie używasz karty - to płać

2 stycznia 2012
Nowy wymiar bankowości internetowej

Nowy wymiar bankowości internetowej

28 grudnia 2011
Sprawdź, jak szybko dojdzie przelew bankowy

Sprawdź, jak szybko dojdzie przelew bankowy

28 grudnia 2011
Mobilne banki oferują coraz więcej

Mobilne banki oferują coraz więcej

25 grudnia 2011
Banki kuszą kierowców tańszym paliwem. Zobacz gdzie dostaniesz zniżkę

Banki kuszą kierowców tańszym paliwem. Zobacz gdzie dostaniesz zniżkę

21 grudnia 2011
Ranking kont oszczędnościowych – grudzień 2011

Ranking kont oszczędnościowych – grudzień 2011

19 grudnia 2011

Zobacz, które grupy zawodowe mają lepiej w bankach

11 grudnia 2011

2,2 miliona włoskich emerytów musi otworzyć konto w banku

10 grudnia 2011
PoprzedniaNastępna
NewsletterZgłoś błąd na stronie
Nie przegap
US President Trump departs the White House

Pierwsze godziny rozejmu między Izraelem a Libanem. Trump ogłasza 10-dniowe zawieszenie broni

policja, policjanci, demonstracja

Dodatek mieszkaniowy od 900 zł do 1800 zł. Mundurowi nie zapłacą od niego podatku

netykieta dziecko w internecie jak uczyć zachowania dziecka w sieci

Bezpieczeństwo dzieci w internecie. Unijna aplikacja jest już gotowa do wdrożenia

tuje, koszt, budowa, ogrodzenie, żywopłoty, płot

Trzeba będzie wyciąć tuje. Maksymalna dopuszczalna wysokość żywopłotu może zaskoczyć

Rozbudowa autostrady A2

Kierowcy boją się tego remontu. Latem stanie A2 z Łodzi do Warszawy. Nie wszystkie samochody się zmieszczą

Dzieje się na granicy z Ukrainą. Węgry pakują manatki i wycofują wojsko

Dzieje się na granicy z Ukrainą. Węgry pakują manatki i wycofują wojsko

Exterior,View,Of,The,European,Court,Of,Justice,In,Luxembourg

TSUE staje w obronie kredytobiorców? Sądy krajowe muszą uwzględnić prawa konsumentów

Od 1 maja w sanatoriach rozpoczyna się sezon wysoki. Dla kuracjuszy oznacza to wzrost cen

Podwyżki w sanatoriach od maja. Tyle będzie kosztował turnus na NFZ [CENNIK]

Dopłata roczna PPK

Eksperci chcą zmian w PPK. Obejmą one 2,5 mln uczestników

Co kształtuje przyszłość Polski? Głos ekspertów o gospodarce, bezpieczeństwie i zmianach globalnych [Komentarz strategiczny] Szymon Glonek

Globalne decyzje, lokalne skutki. Co naprawdę kształtuje przyszłość Polski? [Komentarz Strategiczny]

  • Świat
    • Rosja
    • Ukraina
    • Niemcy
    • Unia Europejska
  • Biznes
    • Aktualności
    • Firma
    • KSeF
    • Finanse
  • Praca
    • Aktualności
    • Wynagrodzenia
    • Kariera
    • Praca za granicą
  • Nieruchomości
    • Aktualności
    • Mieszkania
    • Komercyjne
  • Transport
    • Aktualności
    • Drogi
    • Kolej
    • Lotnictwo
  • Notowania
    • Indeksy
    • Spółki
    • Forex
    • Kursy walut NBP
  • Bezpieczeństwo
    • Krajowe
    • Globalne
    • Aktualności z kraju
    • Aktualności ze świata
  • Gospodarka
    • Aktualności
    • Finanse publiczne
    • Kredyty
    • Twoje pieniądze
  • Kalkulatory
    • Kalkulator brutto-netto
    • Kalkulator Wynagrodzeń
    • Kalkulator odsetek
    • Kalkulator kredytowy
  • Infor.pl
    • Prawo
    • Kadry
    • Księgowość
    • Twoje pieniądze
  • Dziennik.pl
    • Wiadomości
    • Gospodarka
    • Auto
    • Pogoda
  • ZdrowieGO
    • Prawo
    • Finanse
    • Psychologia
    • Porady
  • Kontakt
  • O nas
  • Reklama
  • Ochrona prywatności
  • Regulamin
  • Zmień ustawienia prywatności
  • RSS
Copyright INFOR PL S.A.