Matura 2023 z matematyki: Arkusze CKE i odpowiedzi [POZIOM PODSTAWOWY, FORMUŁA 2015]

Ten tekst przeczytasz w 13 minut
8 maja 2023, 12:50
[aktualizacja 8 maja 2023, 16:47]
Matura 2023 - poziom podstawowy - arkusze i odpowiedzi - formuła 2015
Matura 2023 - poziom podstawowy - arkusze i odpowiedzi - formuła 2015/Forsal.pl
Matura z matematyki na poziomie podstawowym już za nami. Absolwenci liceów i techników pisali ją dziś od godz. 9.00. CKE opublikowała arkusz z formuły 2015. Możecie go też znaleźć w tym artykule. Jednocześnie nasi eksperci przystąpią do przygotowywania proponowanych odpowiedzi. Je także znajdziecie w tym artykule.

Matura 2023: Egzamin z matematyki na poziomie podstawowym

Matura z matematyki na poziomie podstawowym to trzeci obowiązkowy egzamin na maturze 2023. W czwartek maturzyści pisali już język polski, a w piątek wybrany język obcy. Kolej matematyki wypadła 8 maja o godz. 9.00. 

Jeszcze dziś część maturzystów przystąpi do egzaminów z języka kaszubskiego, łemkowskiego oraz łacińskiego i kultury antycznej. Te zmagania rozpoczną się o godz. 14.00.

By zdać maturę z matematyki na poziomie podstawowym, trzeba uzyskać minimum 30 proc. punktów. Taki sam próg zdawalności obowiązuje dla formuły 2015 i 2023. 

Matura 2023: Matematyka w formule 2015

Kto zdawał egzamin z matematyki w formule 2015? Tzw. stara matura obowiązuje absolwentów 3-letnich liceów i 4-letnich techników, czyli osoby, które przed ostatnią reformą szkolnictwa uczęszczały jeszcze do gimnazjów.

Na rozwiązanie matury z matematyki na poziomie podstawowym w formule 2015 uczniowie mieli 170 minut. W porównaniu z „nową” formułą musieli zmagać się z większą liczbą zadań otwartych.

Arkusze maturalne CKE z matematyki – formuła 2015

Jak dokładnie wyglądał dzisiejszy egzamin z matematyki? CKE opublikowała arkusze maturalne z porannego egzaminu. Komisja ujawniła arkusze z formuły 2015 oraz 2023. 

Możecie je też znaleźć także w naszym serwisie. W tym artykule publikujemy arkusz egzaminacyjny z matematyki w formule 2015. 

 

 

Matura 2023 - matematyka - poziom podstawowy - arkusze - formuła 2015

Jakie są prawidłowe rozwiązania zadań?

Czytaj dalej.

Matura: Matematyka w formule 2015 - odpowiedzi

Jednocześnie arkusze egzaminacyjne z matematyki trafią w ręce ekspertów z „Matematyka Gryzie”*, którzy rozpoczną przygotowywanie dla was sugerowanych odpowiedzi. Będziemy je publikować sukcesywnie w miarę rozwiązywania kolejnych zdań z matematyki, dlatego nie zapomnijcie odświeżać strony.

Poniżej znajdziecie proponowane odpowiedzi do arkusza egzaminacyjnego z matematyki na poziomie podstawowym w formule 2015. Aby odświeżyć stronę – kliknij F5.

Arkusz 2015
Arkusz 2015
Arkusz CKE i odpowiedzi. Matematyka, poziom podstawowy formuła 2015
Arkusz CKE i odpowiedzi. Matematyka, poziom podstawowy formuła 2015
Arkusz CKE i odpowiedzi. Matematyka, poziom podstawowy formuła 2015
Arkusz CKE i odpowiedzi. Matematyka, poziom podstawowy formuła 2015
Arkusz CKE i odpowiedzi. Matematyka, poziom podstawowy formuła 2015
Arkusz CKE i odpowiedzi. Matematyka, poziom podstawowy formuła 2015
Arkusz CKE i odpowiedzi. Matematyka, poziom podstawowy formuła 2015
Arkusz CKE i odpowiedzi. Matematyka, poziom podstawowy formuła 2015
Arkusz CKE i odpowiedzi. Matematyka, poziom podstawowy formuła 2015
Arkusz CKE i odpowiedzi. Matematyka, poziom podstawowy formuła 2015
Arkusz CKE i odpowiedzi. Matematyka, poziom podstawowy formuła 2015
Arkusz CKE i odpowiedzi. Matematyka, poziom podstawowy formuła 2015

 

Arkusz CKE i odpowiedzi. Matematyka, poziom podstawowy formuła 2015 zad.7
Arkusz CKE i odpowiedzi. Matematyka, poziom podstawowy formuła 2015 zad.7
Arkusz CKE i odpowiedzi. Matematyka, poziom podstawowy formuła 2015 - zadanie 8
Arkusz CKE i odpowiedzi. Matematyka, poziom podstawowy formuła 2015 - zadanie 8
Arkusz CKE i odpowiedzi. Matematyka, poziom podstawowy formuła 2015 zad.9
Arkusz CKE i odpowiedzi. Matematyka, poziom podstawowy formuła 2015 zad.9

 

Arkusz CKE i odpowiedzi. Matematyka, poziom podstawowy formuła 2015 - zadanie 10
Arkusz CKE i odpowiedzi. Matematyka, poziom podstawowy formuła 2015 - zadanie 10
Arkusz CKE i odpowiedzi. Matematyka, poziom podstawowy formuła 2015 - zadanie 11
Arkusz CKE i odpowiedzi. Matematyka, poziom podstawowy formuła 2015 - zadanie 11
Arkusz CKE i odpowiedzi. Matematyka, poziom podstawowy formuła 2015 - zadanie 12
Arkusz CKE i odpowiedzi. Matematyka, poziom podstawowy formuła 2015 - zadanie 12
Arkusz CKE i odpowiedzi. Matematyka, poziom podstawowy formuła 2015 - zadanie 13
Arkusz CKE i odpowiedzi. Matematyka, poziom podstawowy formuła 2015 - zadanie 13
Arkusz CKE i odpowiedzi. Matematyka, poziom podstawowy formuła 2015 - zadanie 14
Arkusz CKE i odpowiedzi. Matematyka, poziom podstawowy formuła 2015 - zadanie 14
Arkusz CKE i odpowiedzi. Matematyka, poziom podstawowy formuła 2015 - zadanie 15
Arkusz CKE i odpowiedzi. Matematyka, poziom podstawowy formuła 2015 - zadanie 15
Arkusz CKE i odpowiedzi. Matematyka, poziom podstawowy formuła 2015 - zadanie 16
Arkusz CKE i odpowiedzi. Matematyka, poziom podstawowy formuła 2015 - zadanie 16
Arkusz CKE i odpowiedzi. Matematyka, poziom podstawowy formuła 2015 - zadanie 17
Arkusz CKE i odpowiedzi. Matematyka, poziom podstawowy formuła 2015 - zadanie 17
Arkusz CKE i odpowiedzi. Matematyka, poziom podstawowy formuła 2015 - zadanie 18
Arkusz CKE i odpowiedzi. Matematyka, poziom podstawowy formuła 2015 - zadanie 18
Arkusz CKE i odpowiedzi. Matematyka, poziom podstawowy formuła 2015 - zadanie 19
 
Arkusz CKE i odpowiedzi. Matematyka, poziom podstawowy formuła 2015 - zadanie 20
 

 

Arkusz CKE i odpowiedzi. Matematyka, poziom podstawowy formuła 2015 - zadanie 21
Arkusz CKE i odpowiedzi. Matematyka, poziom podstawowy formuła 2015 - zadanie 21
Arkusz CKE i odpowiedzi. Matematyka, poziom podstawowy formuła 2015 - zadanie 22
Arkusz CKE i odpowiedzi. Matematyka, poziom podstawowy formuła 2015 - zadanie 22
Arkusz CKE i odpowiedzi. Matematyka, poziom podstawowy formuła 2015 - zadanie 23
Arkusz CKE i odpowiedzi. Matematyka, poziom podstawowy formuła 2015 - zadanie 23
Arkusz CKE i odpowiedzi. Matematyka, poziom podstawowy formuła 2015 - zadanie 24
Arkusz CKE i odpowiedzi. Matematyka, poziom podstawowy formuła 2015 - zadanie 24
Arkusz CKE i odpowiedzi. Matematyka, poziom podstawowy formuła 2015 - zadanie 25
Arkusz CKE i odpowiedzi. Matematyka, poziom podstawowy formuła 2015 - zadanie 25
Arkusz CKE i odpowiedzi. Matematyka, poziom podstawowy formuła 2015 - zadanie 26
Arkusz CKE i odpowiedzi. Matematyka, poziom podstawowy formuła 2015 - zadanie 26
Arkusz CKE i odpowiedzi. Matematyka, poziom podstawowy formuła 2015 - zadanie 27
Arkusz CKE i odpowiedzi. Matematyka, poziom podstawowy formuła 2015 - zadanie 27
Arkusz CKE i odpowiedzi. Matematyka, poziom podstawowy formuła 2015 - zadanie 28
Arkusz CKE i odpowiedzi. Matematyka, poziom podstawowy formuła 2015 - zadanie 28
Arkusz CKE i odpowiedzi. Matematyka, poziom podstawowy formuła 2015 - zadanie 29
Arkusz CKE i odpowiedzi. Matematyka, poziom podstawowy formuła 2015 - zadanie 29
Arkusz CKE i odpowiedzi. Matematyka, poziom podstawowy formuła 2015 - zadanie 30
Arkusz CKE i odpowiedzi. Matematyka, poziom podstawowy formuła 2015 - zadanie 30
Arkusz CKE i odpowiedzi. Matematyka, poziom podstawowy formuła 2015 - zadanie 31
Arkusz CKE i odpowiedzi. Matematyka, poziom podstawowy formuła 2015 - zadanie 31
Arkusz CKE i odpowiedzi. Matematyka, poziom podstawowy formuła 2015 - zadanie 32
Arkusz CKE i odpowiedzi. Matematyka, poziom podstawowy formuła 2015 - zadanie 32
Arkusz CKE i odpowiedzi. Matematyka, poziom podstawowy formuła 2015 - zadanie 33
Arkusz CKE i odpowiedzi. Matematyka, poziom podstawowy formuła 2015 - zadanie 33
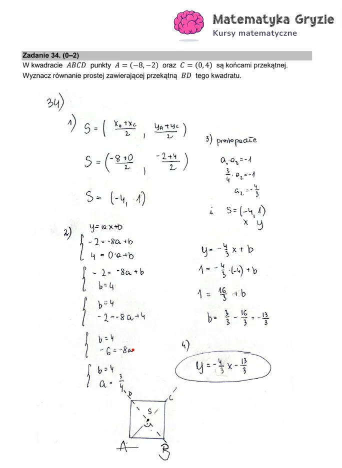
Arkusz CKE i odpowiedzi. Matematyka, poziom podstawowy formuła 2015 - zadanie 34
Arkusz CKE i odpowiedzi. Matematyka, poziom podstawowy formuła 2015 - zadanie 34
Arkusz CKE i odpowiedzi. Matematyka, poziom podstawowy formuła 2015 - zadanie 35
Arkusz CKE i odpowiedzi. Matematyka, poziom podstawowy formuła 2015 - zadanie 35
Arkusz CKE i odpowiedzi. Matematyka, poziom podstawowy formuła 2015 zad. 36
Arkusz CKE i odpowiedzi. Matematyka, poziom podstawowy formuła 2015 zad. 36

 

A jeśli chcesz sprawdzić, co było w formule 2023, kliknij tutaj: arkusz CKE i proponowane odpowiedzi z matematyki na poziomie podstawowym (2023) 

* Matematyka Gryzie - kurs maturalny z matematyki w aplikacji o nazwie Matma Gryzie

Copyright
Materiał chroniony prawem autorskim - wszelkie prawa zastrzeżone. Dalsze rozpowszechnianie artykułu za zgodą wydawcy INFOR PL S.A. Kup licencję
Źródło: forsal.pl
Zapisz się na newsletter
Zapraszamy na newsletter Forsal.pl zawierający najważniejsze i najciekawsze informacje ze świata gospodarki, finansów i bezpieczeństwa.

Zapisując się na newsletter wyrażasz zgodę na otrzymywanie treści reklam również podmiotów trzecich

Administratorem danych osobowych jest INFOR PL S.A. Dane są przetwarzane w celu wysyłki newslettera. Po więcej informacji kliknij tutaj