Matura 2024: Matematyka na poziomie podstawowym [ARKUSZE CKE I ODPOWIEDZI]

Matura 2024, matematyka - poziom podstawowy
Matura 2024, matematyka - poziom podstawowy/Forsal.pl
Szukacie arkuszy CKE i odpowiedzi z matury z matematyki na poziomie podstawowym? Dobrze trafiliście. W tym artykule po 14:00 opublikowaliśmy arkusze CKE z dzisiejszego egzaminu z królowej nauk. Mamy również tutaj pierwsze proponowane odpowiedzi do zadań maturalnych z matematyki. 

Matura z matematyki 2024. Poziom podstawowy

Absolwenci liceów i techników przystąpili do egzaminu z matematyki na poziomie podstawowym dziś o godz. 9.00. 

Do matury z matematyki przystąpili absolwenci 4-letnich liceów, którzy wcześniej kończyli 8-letnią szkołę podstawową. Aby zaliczyć egzamin, maturzyści muszą uzyskać z niego minimum 30 proc. punktów.

Matura 2024: Matematyka. Jakie zagadnienia na egzaminie? 

Matura z matematyki na poziomie podstawowym została przeprowadzona na podstawie wymagań egzaminacyjnych określonych w rozporządzeniu Ministra Edukacji i Nauki w sprawie wymagań egzaminacyjnych z 10 czerwca 2022 r. To katalog zawężonych o 20-25 proc. wymagań określonych w podstawie programowej.

Co było na maturze z matematyki na poziomie podstawowym? Według wytycznych MEN zadania egzaminacyjne dotyczyły następujących tematów: 

  • Liczby rzeczywiste
  • Wyrażenia algebraiczne
  • Równania i nierówności
  • Układy równań
  • Funkcje
  • Ciągi
  • Trygonometria
  • Planimetria
  • Geometria analityczna na płaszczyźnie kartezjańskiej
  • Stereometria
  • Kombinatoryka
  • Rachunek prawdopodobieństwa i statystyka
  • Optymalizacja i rachunek różniczkowy

Matura 2024: Arkusze CKE z matematyki na Forsal.pl

O tym, jakie dokładnie zadania znalazły się w arkuszu egzaminacyjnym z matematyki na poziomie podstawowym, przekonaliśmy się o 14.00. Wtedy CKE opublikowała na swoich stronach internetowych arkusze z porannego testu.

Te same arkusze można  znaleźć na Forsal.pl. 

Matura 2024. Arkusz CKE z matematyki – wersja A - poziom podstawowy. Formuła 2023 (pierwsza strona)
Matura 2024. Arkusz CKE z matematyki – wersja A - poziom podstawowy. Formuła 2023 (pierwsza strona)

Matura 2024. Arkusz CKE z matematyki – wersja A - poziom podstawowy. Formuła 2023

Matura 2024. Arkusz CKE z matematyki – wersja B - poziom podstawowy. Formuła 2023

Matura 2024. Arkusz CKE z matematyki – wersja A - poziom podstawowy. Formuła 2015

Matura 2024. Arkusz CKE z matematyki – wersja B - poziom podstawowy. Formuła 2015

Jakie są prawidłowe rozwiązania zadań?

Czytaj dalej.

Matura 2024 z matematyki. ODPOWIEDZI

Do rozwiązywania arkuszy zasiedli eksperci z „Matematyka Gryzie”*. Przygotowali oni dla was proponowane odpowiedzi do wszystkich zadań maturalnych.

Sugerowane odpowiedzi do arkusza CKE z matematyki na poziomie podstawowym będziemy publikować po godzinie 14:00 poniżej. Pamiętajcie – strona nie odświeża się automatycznie, wciśnij F5. 

 

Matura 2024. Matematyka - poziom podstawowy [ARKUSZE CKE i ODPOWIEDZI] 1
Matura 2024. Matematyka - poziom podstawowy [ARKUSZE CKE i ODPOWIEDZI] 1
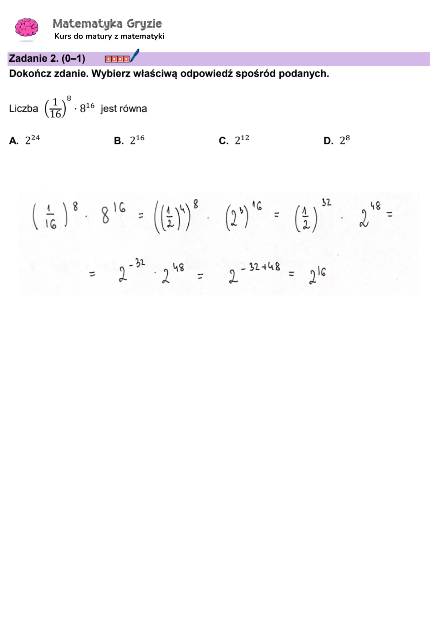
Matura 2024. Matematyka - poziom podstawowy [ARKUSZE CKE i ODPOWIEDZI] 2
Matura 2024. Matematyka - poziom podstawowy [ARKUSZE CKE i ODPOWIEDZI] 2
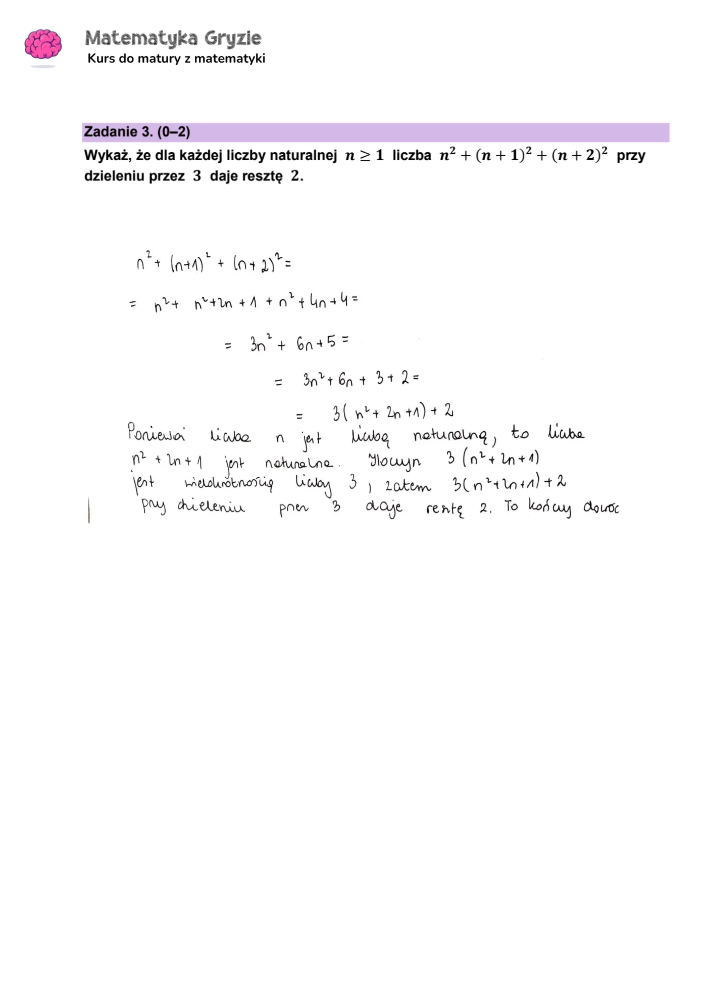
Matura 2024. Matematyka - poziom podstawowy [ARKUSZE CKE i ODPOWIEDZI] 3
Matura 2024. Matematyka - poziom podstawowy [ARKUSZE CKE i ODPOWIEDZI] 3
Matura 2024. Matematyka - poziom podstawowy [ARKUSZE CKE i ODPOWIEDZI] 4
Matura 2024. Matematyka - poziom podstawowy [ARKUSZE CKE i ODPOWIEDZI] 4
Matura 2024. Matematyka - poziom podstawowy [ARKUSZE CKE i ODPOWIEDZI] 5
Matura 2024. Matematyka - poziom podstawowy [ARKUSZE CKE i ODPOWIEDZI] 5
Matura 2024. Matematyka - poziom podstawowy [ARKUSZE CKE i ODPOWIEDZI] 6
Matura 2024. Matematyka - poziom podstawowy [ARKUSZE CKE i ODPOWIEDZI] 6
Matura 2024. Matematyka - poziom podstawowy [ARKUSZE CKE i ODPOWIEDZI] 7
Matura 2024. Matematyka - poziom podstawowy [ARKUSZE CKE i ODPOWIEDZI] 7
Matura 2024. Matematyka - poziom podstawowy [ARKUSZE CKE i ODPOWIEDZI] 8
Matura 2024. Matematyka - poziom podstawowy [ARKUSZE CKE i ODPOWIEDZI] 8
Matura 2024. Matematyka - poziom podstawowy [ARKUSZE CKE i ODPOWIEDZI] 9
Matura 2024. Matematyka - poziom podstawowy [ARKUSZE CKE i ODPOWIEDZI] 9
Matura 2024. Matematyka - poziom podstawowy [ARKUSZE CKE i ODPOWIEDZI] 10
Matura 2024. Matematyka - poziom podstawowy [ARKUSZE CKE i ODPOWIEDZI] 10
Matura 2024. Matematyka - poziom podstawowy [ARKUSZE CKE i ODPOWIEDZI] 11
Matura 2024. Matematyka - poziom podstawowy [ARKUSZE CKE i ODPOWIEDZI] 11
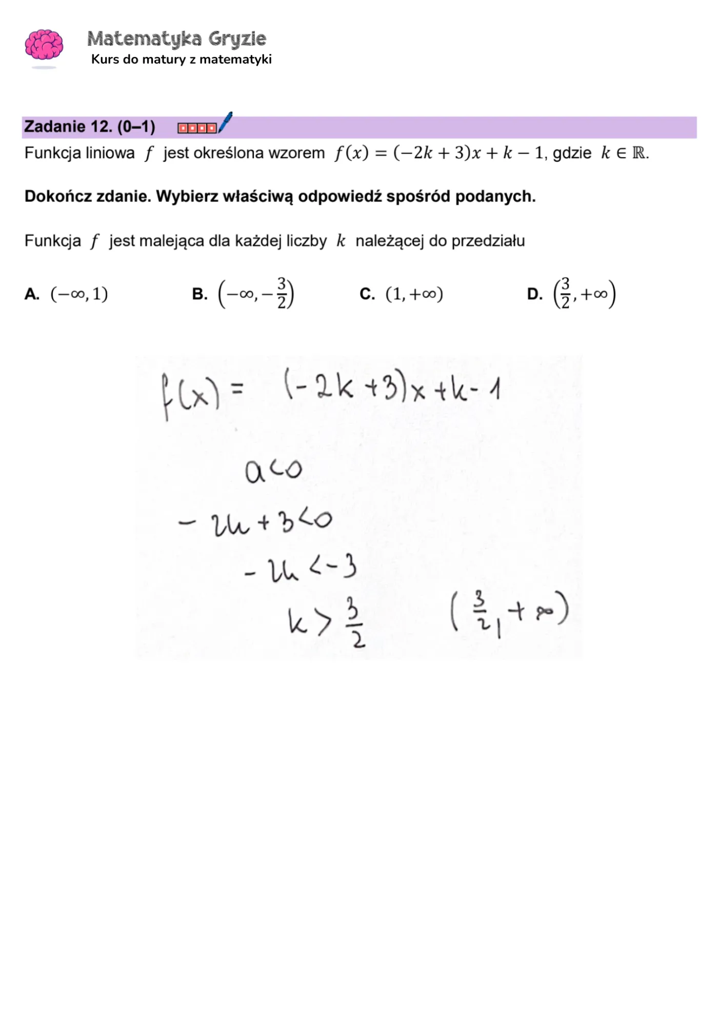
Matura 2024. Matematyka - poziom podstawowy [ARKUSZE CKE i ODPOWIEDZI] 12
Matura 2024. Matematyka - poziom podstawowy [ARKUSZE CKE i ODPOWIEDZI] 12
Matura 2024. Matematyka - poziom podstawowy [ARKUSZE CKE i ODPOWIEDZI] 13
Matura 2024. Matematyka - poziom podstawowy [ARKUSZE CKE i ODPOWIEDZI] 13
Matura 2024. Matematyka - poziom podstawowy [ARKUSZE CKE i ODPOWIEDZI] 14.1
Matura 2024. Matematyka - poziom podstawowy [ARKUSZE CKE i ODPOWIEDZI] 14.1
Matura 2024. Matematyka - poziom podstawowy [ARKUSZE CKE i ODPOWIEDZI] 14.2
Matura 2024. Matematyka - poziom podstawowy [ARKUSZE CKE i ODPOWIEDZI] 14.2
Matura 2024. Matematyka - poziom podstawowy [ARKUSZE CKE i ODPOWIEDZI] 14.3
Matura 2024. Matematyka - poziom podstawowy [ARKUSZE CKE i ODPOWIEDZI]
Matura 2024. Matematyka - poziom podstawowy [ARKUSZE CKE i ODPOWIEDZI] 14.4
Matura 2024. Matematyka - poziom podstawowy [ARKUSZE CKE i ODPOWIEDZI] 14.4
Matura 2024. Matematyka - poziom podstawowy [ARKUSZE CKE i ODPOWIEDZI] 15
Matura 2024. Matematyka - poziom podstawowy [ARKUSZE CKE i ODPOWIEDZI] 15
Matura 2024. Matematyka - poziom podstawowy [ARKUSZE CKE i ODPOWIEDZI] 16
Matura 2024. Matematyka - poziom podstawowy [ARKUSZE CKE i ODPOWIEDZI] 16
Matura 2024. Matematyka - poziom podstawowy [ARKUSZE CKE i ODPOWIEDZI] 17
Matura 2024. Matematyka - poziom podstawowy [ARKUSZE CKE i ODPOWIEDZI] 17
Matura 2024. Matematyka - poziom podstawowy [ARKUSZE CKE i ODPOWIEDZI] 18
Matura 2024. Matematyka - poziom podstawowy [ARKUSZE CKE i ODPOWIEDZI] 18
Matura 2024. Matematyka - poziom podstawowy [ARKUSZE CKE i ODPOWIEDZI] 19
Matura 2024. Matematyka - poziom podstawowy [ARKUSZE CKE i ODPOWIEDZI] 19
Matura 2024. Matematyka - poziom podstawowy [ARKUSZE CKE i ODPOWIEDZI] 20
Matura 2024. Matematyka - poziom podstawowy [ARKUSZE CKE i ODPOWIEDZI] 20

 

Matura 2024. Matematyka - poziom podstawowy [ARKUSZE CKE i ODPOWIEDZI] 22
Matura 2024. Matematyka - poziom podstawowy [ARKUSZE CKE i ODPOWIEDZI] 22
Matura 2024. Matematyka - poziom podstawowy [ARKUSZE CKE i ODPOWIEDZI] 23
Matura 2024. Matematyka - poziom podstawowy [ARKUSZE CKE i ODPOWIEDZI] 23
Matura 2024. Matematyka - poziom podstawowy [ARKUSZE CKE i ODPOWIEDZI] 24
Matura 2024. Matematyka - poziom podstawowy [ARKUSZE CKE i ODPOWIEDZI] 24
Matura 2024. Matematyka - poziom podstawowy [ARKUSZE CKE i ODPOWIEDZI] 25 i 25.1
Matura 2024. Matematyka - poziom podstawowy [ARKUSZE CKE i ODPOWIEDZI] 25 i 25.1
Matura 2024. Matematyka - poziom podstawowy [ARKUSZE CKE i ODPOWIEDZI] 25.2
Matura 2024. Matematyka - poziom podstawowy [ARKUSZE CKE i ODPOWIEDZI] 25.2
Matura 2024. Matematyka - poziom podstawowy [ARKUSZE CKE i ODPOWIEDZI] 26
Matura 2024. Matematyka - poziom podstawowy [ARKUSZE CKE i ODPOWIEDZI] 26
Matura 2024. Matematyka - poziom podstawowy [ARKUSZE CKE i ODPOWIEDZI] 27
Matura 2024. Matematyka - poziom podstawowy [ARKUSZE CKE i ODPOWIEDZI] 27
Matura 2024. Matematyka - poziom podstawowy [ARKUSZE CKE i ODPOWIEDZI] 28
Matura 2024. Matematyka - poziom podstawowy [ARKUSZE CKE i ODPOWIEDZI] 28
Matura 2024. Matematyka - poziom podstawowy [ARKUSZE CKE i ODPOWIEDZI] 29
Matura 2024. Matematyka - poziom podstawowy [ARKUSZE CKE i ODPOWIEDZI] 29
Matura 2024. Matematyka - poziom podstawowy [ARKUSZE CKE i ODPOWIEDZI] 30 30
Matura 2024. Matematyka - poziom podstawowy [ARKUSZE CKE i ODPOWIEDZI]
Matura 2024. Matematyka - poziom podstawowy [ARKUSZE CKE i ODPOWIEDZI] 31
Matura 2024. Matematyka - poziom podstawowy [ARKUSZE CKE i ODPOWIEDZI] 31
Copyright
Materiał chroniony prawem autorskim - wszelkie prawa zastrzeżone. Dalsze rozpowszechnianie artykułu za zgodą wydawcy INFOR PL S.A. Kup licencję
Źródło: forsal.pl
Artur Patrzylas, Forsal.pl
oprac. Artur Patrzylas
<p><span>Dziennikarz, redaktor i wydawca. W mediach internetowych pracuje już od dekady. Doktor kulturoznawstwa, absolwent socjologii i dziennikarstwa. Pisze przede wszystkim o makroekonomii, biznesie, rynkach finansowych oraz technologiach. Posiadaną wiedzę wykorzystuje w praktyce jako inwestor. Po godzinach namiętny czytelnik i kinoman.</span></p>
Zobacz wszystkie artykuły tego autoraMatura 2024: Matematyka na poziomie podstawowym [ARKUSZE CKE I ODPOWIEDZI] »
Zapisz się na newsletter
Zapraszamy na newsletter Forsal.pl zawierający najważniejsze i najciekawsze informacje ze świata gospodarki, finansów i bezpieczeństwa.

Zapisując się na newsletter wyrażasz zgodę na otrzymywanie treści reklam również podmiotów trzecich

Administratorem danych osobowych jest INFOR PL S.A. Dane są przetwarzane w celu wysyłki newslettera. Po więcej informacji kliknij tutaj