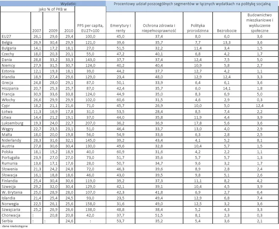
Z opublikowanego we wtorek raportu europejskiego urzędu statystycznego Eurostat, w 2010 roku – to ostatni rok z którego dostępne są dane – wydatki na świadczenia socjalne w Unii Europejskiej wyniosły 29,4 proc. produktu krajowego brutto Unii. Świadczenia te obejmują emerytury i renty rodzinne, ubezpieczenia i renty zdrowotne oraz inwalidzkie, wydatki na rodzinę i dzieci, świadczenia dla bezrobotnych, a także wydatki na mieszkania i walkę z wykluczeniem społecznym.
Polska znalazła się wśród państw, które na opiekę społeczną wydawały najmniejszą część swojego budżetu. Wydatki rzędu 18,9 proc. PKB plasują nas sporo poniżej unijnej średniej. Jeszcze mniejsze wydatki ponosiła Słowacja (18,6 proc.), Bułgaria i Estonia (po 18,1 proc.), Łotwa (17,8 proc.) oraz Rumunia (17,6 proc.).
Największy procent swojego PKB na świadczenia socjalne wydawała w 2010 roku Francja – było to 33,8 proc. Zaraz za nią znalazła się Dania (33,3 proc.) oraz Holandia (32,1 proc.). Jak pisze w komunikacie Eurostat, różnica w poziomie wydatków na pomoc społeczną odzwierciedla zróżnicowany poziom standardu życia w poszczególnych krajach Unii Europejskiej, ale także różnice pomiędzy strategiami opieki społecznej w różnych państwach.
Biorąc jednak pod uwagę różnice w sile nabywczej pieniądza w krajach członkowskich UE, różnice w wydatkach socjalnych są jeszcze wyższe. Luksemburg po takim przeliczeniu wydaje bowiem prawie osiem razy więcej na świadczenia socjalne niż Bułgaria. W czołówce znajdują się wtedy również Holandia i Dania, a najniższe wydatki poza Bułgarią ponosi Rumunia. Polska w takim zestawieniu wydaje również niewiele, bowiem 40 proc. średniej UE.
Na co najwięcej pieniędzy przeznaczamy w Polsce?
Ciekawa jest struktura wydatków socjalnych w naszym kraju. Zajmujemy bowiem pierwsze miejsce w UE jeśli chodzi o część wydawanych na świadczenia społeczne pieniędzy, którą pochłaniają emerytury oraz renty rodzinne (przyznawane w przypadku śmierci członka rodziny) – jest to aż 60,6 proc. Zaraz za nami w tej kategorii znalazły się Włochy (60,6 proc.), a następnie dopiero Malta (54,9 proc.). Wysokie wydatki na emerytury ponoszone były u nas kosztem wydatków na świadczenia rodzinne, które z kolei były prawie najniższe w całej UE. Przy unijnej średniej 8 proc., Polska na wspieranie rodziny i dzieci wydawała jedynie 4,2 proc. pieniędzy przeznaczanych na świadczenia społeczne – niższy procent był wydawany tylko w Holandii. Z kolei wysoko ponad średnią znalazł się Luksemburg (17,8 proc.), a także Węgry (13 proc.), Irlandia (12,9 proc.) i Estonia (12,7 proc.).
Niskie były też nasze wydatki związane z osobami bezrobotnymi. Przy unijnej średniej na poziomie 6 proc., Polska wydawała jedynie 2,2 proc. budżetu na świadczenia społeczne, co jest najniższym wynikiem wśród państw UE. Zaraz za nami znalazła się Wielka Brytania (2,7 proc.), Słowenia i Malta (po 2,8 proc). Z kolei najwięcej na bezrobotnych poświęcała cierpiąca z powodu rekordowego bezrobocia Hiszpania (14,1 proc.). Zaraz za nią znalazła się Belgia (13,3 proc.) oraz Irlandia (12,4 proc.). Co ciekawe, w Grecji, która już wtedy zmagała się ze znacznym wzrostem bezrobocia (było ono jednak wciąż dużo mniejsze niż w Hiszpanii), wydawała na związane z nim świadczenia tylko 6,1 proc.
Wydatki na świadczenia chorobowe oraz renty pochłaniały w UE średnio 37,4 proc. wydatków socjalnych, podczas gdy w Polsce było to 31,6 proc. Poziom wydatków na ten segment był w poszczególnych krajach w mniejszym stopniu zróżnicowany niż pozostałe – największą część budżetu socjalnego poświęcała na nie Irlandia (48 proc.), a najmniejszą – Cypr (26,9 proc.).
Podsumowując, Polska w porównaniu do innych krajów Unii Europejskiej nie wydaje szczególnie dużej części swojego dochodu na świadczenia socjalne, ale zaskakująco dużą jej część pochłaniają emerytury, co dzieje się kosztem świadczeń rodzinnych.
